Упр.537 ГДЗ Макарычев Миндюк 9 класс (Алгебра)
Решение #1

Рассмотрим вариант решения задания из учебника Макарычев, Миндюк, Нешков 9 класс, Просвещение:
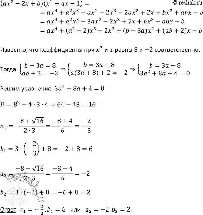
537 Если умножить квадратный трёхчлен ах2 -2х + b на квадратный трёхчлен х2 + ах - 1, то получится многочлен четвёртой степени, в котором коэффициенты при х2 и х соответственно равны 8 и -2. Найдите а и b.
*размещая тексты в комментариях ниже, вы автоматически соглашаетесь с пользовательским соглашением