Упр.879 ГДЗ Алимов 10-11 класс (Алгебра)
Решение #1
Решение #2

Рассмотрим вариант решения задания из учебника Алимов, Колягин, Ткачёва 11 класс, Просвещение:
Найти производную функции (879—881).
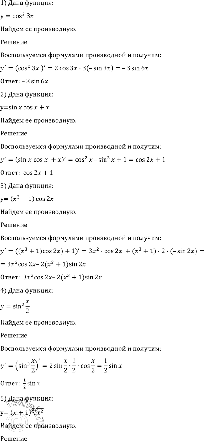
879 1) y=cos2 3x;
2) y=sinxcosx+x;
3) y=(x3+1)cos2x;
4) y=sin2 x/2;
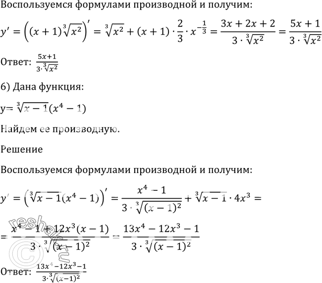
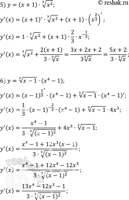
5) y=(x+1) корень 3 cтепени x2;
6) y= корень 3 cтепени (x-1) (x4-1).
*размещая тексты в комментариях ниже, вы автоматически соглашаетесь с пользовательским соглашением