Упр.847 ГДЗ Алимов 10-11 класс (Алгебра)
Решение #1
Решение #2

Рассмотрим вариант решения задания из учебника Алимов, Колягин, Ткачёва 11 класс, Просвещение:
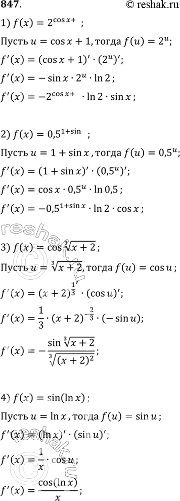
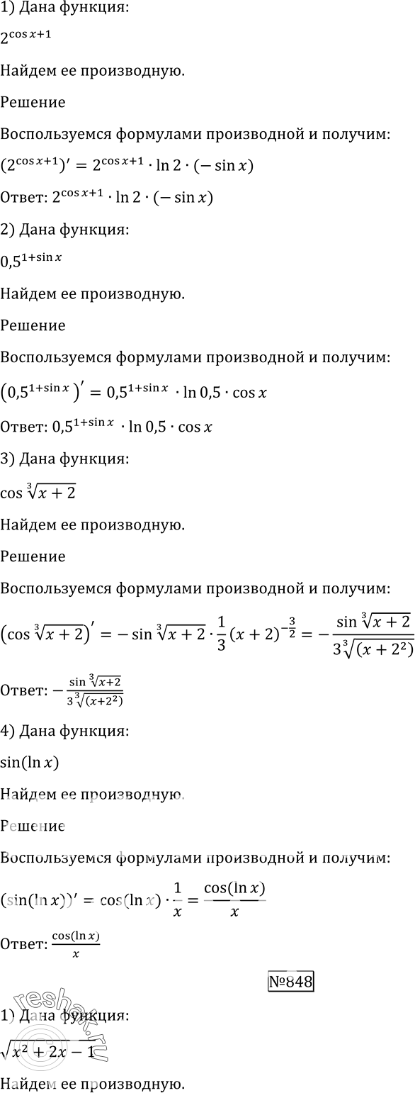
847 1) 2^(cosx+1);
2) 0,5^(1+sinx);
3) cos корень 3 степени (x+2);
4) sin(lnx).
*размещая тексты в комментариях ниже, вы автоматически соглашаетесь с пользовательским соглашением