Упр.531 ГДЗ Алимов 10-11 класс (Алгебра)
Решение #1
Решение #2

Рассмотрим вариант решения задания из учебника Алимов, Колягин, Ткачёва 10 класс, Просвещение:
531 Вычислить:
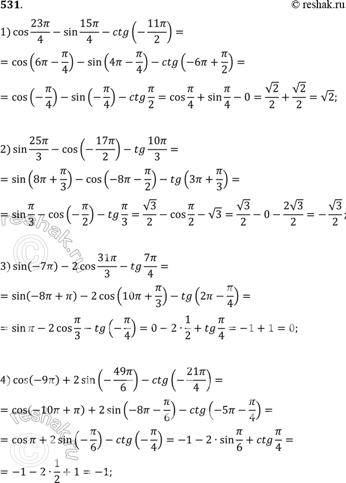
1) cos 23пи/4 - sin 15пи/4 - ctg (-11пи/2);
2) sin 25пи/3 - cos(-17пи/2) - tg 10пи/3;
3) sin(-7пи) - 2cos 31пи/3 - tg 7пи/4;
4) cos(-9пи) + 2 sin(-49пи/6) - ctg(- 21пи/4).
*размещая тексты в комментариях ниже, вы автоматически соглашаетесь с пользовательским соглашением