Упр.416 ГДЗ Алимов 10-11 класс (Алгебра)
Решение #1
Решение #2

Рассмотрим вариант решения задания из учебника Алимов, Колягин, Ткачёва 10 класс, Просвещение:
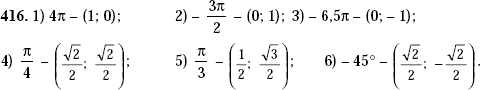
416 Найти координаты точки единичной окружности, полученной поворотом точки (1; 0) на угол:
1) 4пи;
2) -3пи/2;
3)-6,5пи;
4)пи/4;
5)пи/3;
6) -45.
*размещая тексты в комментариях ниже, вы автоматически соглашаетесь с пользовательским соглашением