Упр.259 ГДЗ Алимов 10-11 класс (Алгебра)
Решение #1
Решение #2

Рассмотрим вариант решения задания из учебника Алимов, Колягин, Ткачёва 10 класс, Просвещение:
259. 1) 2*3^(3x-1) + 27^(x-2/3) = 9^(x-1) +2* 3^(2x-1);
2) 2^((корень x) + 2) - 2^((корень x) + 1) = 12 + 2^((корень x) - 1) ;
3) 22*9^(x-1) - 1/3*3^(x+3) +1/3*3^(x+2) =4;
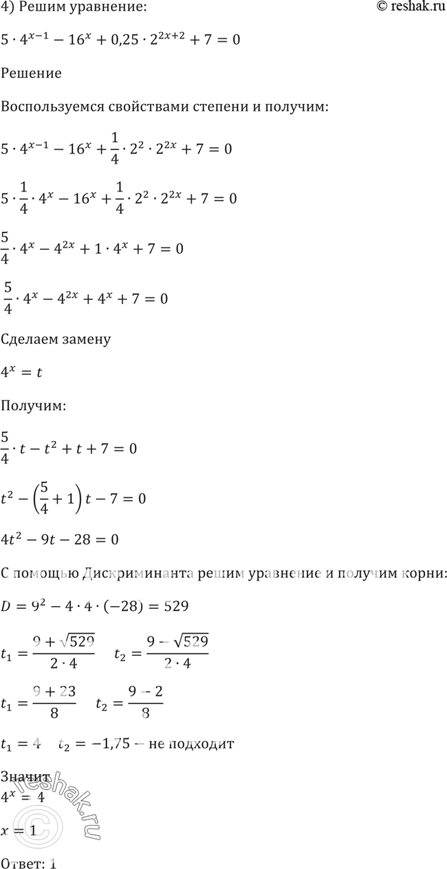
4) 5*4^(x-1) -16x + 0,25 * 2^(2x+2) +7=0
*размещая тексты в комментариях ниже, вы автоматически соглашаетесь с пользовательским соглашением