Упр.176 ГДЗ Алимов 10-11 класс (Алгебра)
Решение #1
Решение #2

Рассмотрим вариант решения задания из учебника Алимов, Колягин, Ткачёва 10 класс, Просвещение:
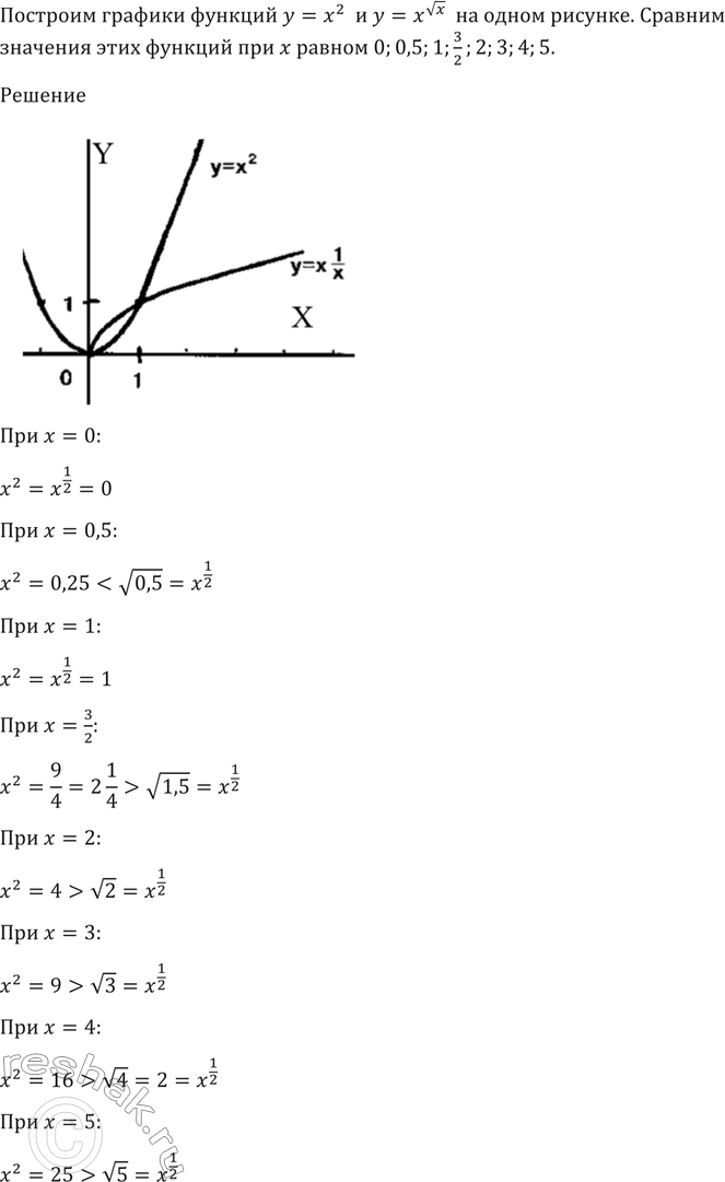
176. На одном рисунке построить графики функций у = х2 и y =x^корень x. Сравнить значения этих функций при х, равном 0; 0,5; 1; 3/2;2;3; 4; 5.
*размещая тексты в комментариях ниже, вы автоматически соглашаетесь с пользовательским соглашением