Упр.1583 ГДЗ Алимов 10-11 класс (Алгебра)
Решение #1
Решение #2

Рассмотрим вариант решения задания из учебника Алимов, Колягин, Ткачёва 11 класс, Просвещение:
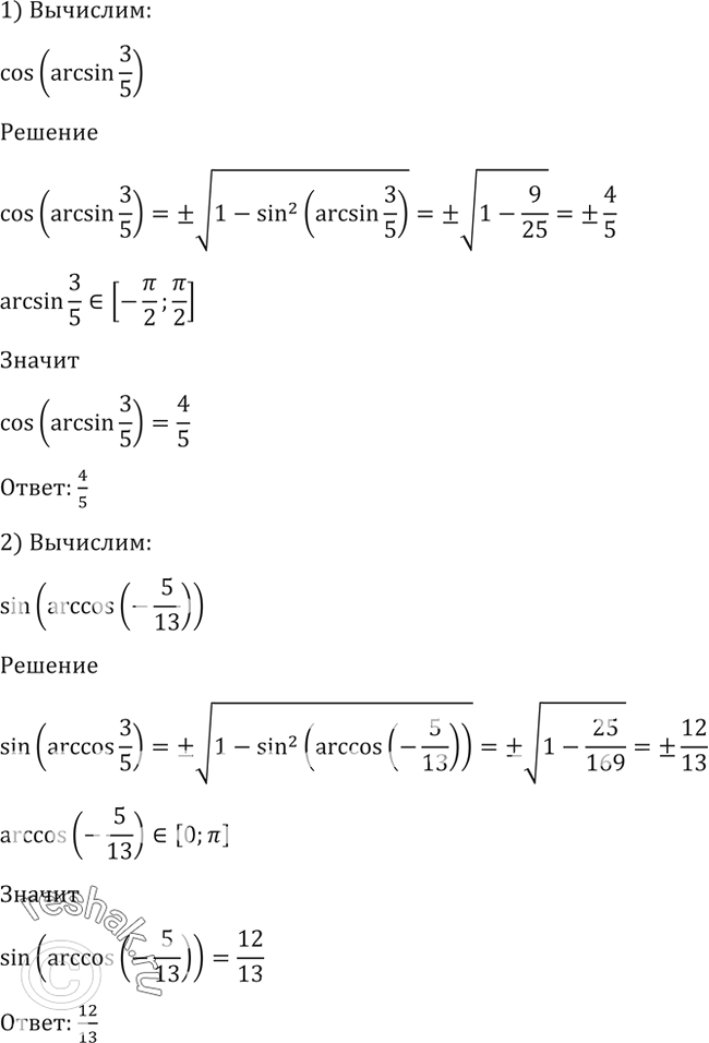
1583 Вычислить:
1) cos(arcsin3/5);
2) sin(arccos(-5/13).
*размещая тексты в комментариях ниже, вы автоматически соглашаетесь с пользовательским соглашением