Упр.14 ГДЗ Алимов 10-11 класс (Алгебра)
Решение #1
Решение #2

Рассмотрим вариант решения задания из учебника Алимов, Колягин, Ткачёва 10 класс, Просвещение:
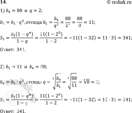
14 Найти сумму первых пяти членов геометрической прогрессии, если:
1) b4 = 88, q = 2;
2) b1 = 11, b4 = 88.
*размещая тексты в комментариях ниже, вы автоматически соглашаетесь с пользовательским соглашением