№320 ГДЗ Рымкевич 10-11 класс (Физика)
Решение #1
Решение #2
Решение #3

Рассмотрим вариант решения задания из учебника Рымкевич 10-11 класс, Дрофа:
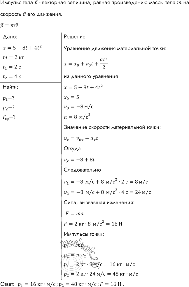
Движение материальной точки описывается уравнением х = 5 - 8t + 4t2. Приняв ее массу равной 2 кг, найти импульс через 2 с и через 4 с после начала отсчета времени, а также силу, вызвавшую это изменение импульса.
*размещая тексты в комментариях ниже, вы автоматически соглашаетесь с пользовательским соглашением